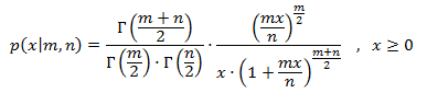
1 2 3 4 5 6 7 8 9 10 11 12 13 14 15 16 17 18 19 20 21 22 23 24 25 26 27 28
|
// fisher_f_distribution
#include <iostream>
#include <random>
int main()
{
const int nrolls=10000; // number of experiments
const int nstars=100; // maximum number of stars to distribute
std::default_random_engine generator;
std::fisher_f_distribution<double> distribution(2.0,2.0);
int p[10]={};
for (int i=0; i<nrolls; ++i) {
double number = distribution(generator);
if ((number>=0.0)&&(number<10.0)) ++p[int(number)];
}
std::cout << "fisher_f_distribution (2.0,2.0):" << std::endl;
for (int i=0; i<10; ++i) {
std::cout << i << "-" << (i+1) << ": ";
std::cout << std::string(p[i]*nstars/nrolls,'*') << std::endl;
}
return 0;
}
|