class template
<random>
std::uniform_real_distribution
template <class RealType = double> class uniform_real_distribution;
Uniform real distribution
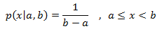
Random number distribution that produces floating-point values according to a uniform distribution, which is described by the following probability density function:
This distribution (also know as rectangular distribution) produces random numbers in a range [a,b) where all intervals of the same length within it are equally probable.
The distribution parameters, a and b, are set on construction.
To produce a random value following this distribution, call its member function operator().
Template parameters
- RealType
- A floating-point type. Aliased as member type result_type.
By default, this is double.
Member types
The following aliases are member types of uniform_real_distribution:
| member type | definition | notes |
| result_type | The first template parameter (RealType) | The type of the numbers generated (defaults to double) |
| param_type | not specified | The type returned by member param. |
Member functions
- (constructor)
- Construct uniform real distribution (public member function)
- operator()
- Generate random number (public member function)
- reset
- Reset distribution (public member function)
- param
- Distribution parameters (public member function)
- min
- Minimum value (public member function)
- max
- Upper bound of range (public member function)
Distribution parameters:
- a
- Lower bound of range (public member function)
- b
- Upper bound of range (public member function)
Non-member functions
- operator<<
- Insert into output stream (function template)
- operator>>
- Extract from input stream (function template)
- relational operators
- Relational operators (function template)
Example
1 2 3 4 5 6 7 8 9 10 11 12 13 14 15 16 17 18 19 20 21 22 23 24 25 26 27 28 29 30
|
// uniform_real_distribution
#include <iostream>
#include <random>
int main()
{
const int nrolls=10000; // number of experiments
const int nstars=95; // maximum number of stars to distribute
const int nintervals=10; // number of intervals
std::default_random_engine generator;
std::uniform_real_distribution<double> distribution(0.0,1.0);
int p[nintervals]={};
for (int i=0; i<nrolls; ++i) {
double number = distribution(generator);
++p[int(nintervals*number)];
}
std::cout << "uniform_real_distribution (0.0,1.0):" << std::endl;
std::cout << std::fixed; std::cout.precision(1);
for (int i=0; i<nintervals; ++i) {
std::cout << float(i)/nintervals << "-" << float(i+1)/nintervals << ": ";
std::cout << std::string(p[i]*nstars/nrolls,'*') << std::endl;
}
return 0;
}
|
Possible output:
uniform_real_distribution (0.0,1.0):
0.0-0.1: *********
0.1-0.2: *********
0.2-0.3: *********
0.3-0.4: *********
0.4-0.5: *********
0.5-0.6: *********
0.6-0.7: *********
0.7-0.8: *********
0.8-0.9: *********
0.9-1.0: *********
|