class template
<random>
std::piecewise_linear_distribution
template <class RealType = double> class piecewise_linear_distribution;
Piecewise linear distribution
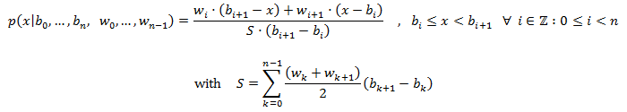
Random number distribution that produces floating-point values that are distributed over a sequence of contiguous subintervals, of which the probability density at its boundaries is specified, as if defined by the following probability density function:
A set of n non-negative individual weights (the w's) for each of the n subinterval bounds (bi) are set on construction. The probability density on the bounds is proportional to those weights in such a way that the integral that covers all possible values is exactly 1.0.
The probability of producing a value within each subinterval is the linear value in between the probability density of its bounds.
To produce a random value following this distribution, call its member function operator().
Template parameters
- RealType
- A floating-point type. Aliased as member type result_type.
By default, this is double.
Member types
The following aliases are member types of piecewise_linear_distribution:
| member type | definition | notes |
| result_type | The first template parameter (RealType) | The type of the numbers generated (defaults to double) |
| param_type | not specified | The type returned by member param. |
Member functions
- (constructor)
- Construct piecewise linear distribution (public member function)
- operator()
- Generate random number (public member function)
- reset
- Reset distribution (public member function)
- param
- Distribution parameters (public member function)
- min
- Minimum value (public member function)
- max
- Maximum value (public member function)
Distribution parameters:
- intervals
- Intervals (public member function)
- densities
- Densities (public member function)
Non-member functions
- operator<<
- Insert into output stream (function template)
- operator>>
- Extract from input stream (function template)
- relational operators
- Relational operators (function template)
Example
1 2 3 4 5 6 7 8 9 10 11 12 13 14 15 16 17 18 19 20 21 22 23 24 25 26 27 28 29 30
|
// piecewise_linear_distribution
#include <iostream>
#include <array>
#include <random>
int main()
{
const int nrolls = 10000; // number of experiments
const int nstars = 100; // maximum number of stars to distribute
std::default_random_engine generator;
std::array<double,3> intervals {0.0, 4.5, 9.0};
std::array<double,3> weights {10.0, 0.0, 10.0};
std::piecewise_linear_distribution<double>
distribution (intervals.begin(),intervals.end(),weights.begin());
int p[10]={};
for (int i=0; i<nrolls; ++i) {
int number = distribution(generator);
++p[number];
}
std::cout << "a piecewise_linear_distribution:" << std::endl;
for (int i=0; i<9; ++i) {
std::cout << i << "-" << i+1 << ": ";
std::cout << std::string(p[i]*nstars/nrolls,'*') << std::endl;
}
return 0;
}
|
Possible output:
a piecewise_linear_distribution:
0-1: *******************
1-2: **************
2-3: *********
3-4: *****
4-5: *
5-6: *****
6-7: *********
7-8: **************
8-9: *******************
|